Mass on a Spring - Figuring out equation from initial conditions

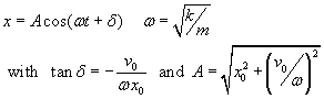
The equations used here are :

Step 1) Enter the starting conditions :

Mass (m) = kg
Spring constant (K) = N/m
Initial Position (x0) = m (R/L = +/-)
Initial Velocity (v0) = m (R/L = +/-)

Step 2) Update the graph values :   


Based on your choices above, these values are calculated:
Omega (w) = rad/sec
Amplitude (A) = meters
Phase angle (phi) = radians
Period (T) = sec
E total = Joules


Things to try :

  • Have +x0 and +v0 value
  • Have a +x0 and a -v0 value (how does it differ)
  • Have x0=0 and +V0 - compare to +x0/v0=0
  • If you have v0=0 .. how does changing the mass affect the energy? Why?
  • If you have x0=0 .. how does changing K affect the energy, why?